ГУСТ МО
Проверка локаций сотрудниками / Фото: ГУСТ МО

Практически 13,6 тысяч дефектов в содержании территорий устранили в Подмосковье


/Главная /Благоустройство
Автор текста:
/Главная /Благоустройство
Автор текста:

В сентябре сотрудники Главного управления содержания территорий (ГУСТ МО) проверили более 13 тысяч локации. Основными замечаниями инспекторов в сентябре стали: мусор на газонах — зафиксировано более 1,8 тысяч случаев, пыль на внутриквартальных проездах — более 1,4 тысяч, несвоевременная уборка листвы — 1,1 тысяч.

В поддержании чистоты и порядка важна системность. Инспекторы следят за содержанием дворов и общественных пространств в Подмосковье. Они фиксируют нарушения на платформе СКПДИ, после чего они попадают в работу ответственным организациям.

Светлана Аипова, Руководитель Главного управления содержания территорий в ранге министра:

«В сентябре наши сотрудники „посетили“ с проверками 13 342 локации. Под надзором инспекторского состава коммунальные службы устранили 13 590 дефектов в содержании пространств. Так, более 800 замечаний отработали в Пушкинском и Истре, 717 — в Коломне, порядка 670 — закрыли в Сергиево-Посадском и Подольске, более 400 — в Дмитровском, Красногорске, Мытищах, Реутове и Солнечногорске, 163 — в Воскресенске, 140 — в Лобне. Данная работа позволяет сохранить территории чистыми и опрятными, а также при оперативном устранении дефектов снизить количество обращений жителей»
  • Валентина Максимова
    Улица Дзержинского / Фото: Валентина Максимова

    В Солнечногорске завершается благоустройство дворовой территории на улице Дзержинского


    /Главная /Благоустройство
    Автор текста:
    /Главная /Благоустройство
    Автор текста:

    На улице Дзержинского у домов № 15, 17 и 19 завершается благоустройство дворовой территории. Адрес выбрали по итогам голосования на портале «Добродел». Дома включили в план после оценки состояния дворов. Сейчас готовность 95%.

    Валентина Максимова
    Заменили асфальтовое покрытие внутриквартальных проездов, тротуаров, установили бордюры / Фото: Валентина Максимова

    Специалисты заменили асфальтовое покрытие внутриквартальных проездов, тротуаров, установили бордюры. Рабочим нужно пару дней, чтобы залить асфальт для площадки под мусорные контейнеры и нанести разметку на парковочные места. В этих дворах была большая проблема с парковкой. Теперь добавилось еще 700 квадратных метров под машиноместа. А всего благоустроили почти 6000 квадратов.

    подрядчик, Армен Иритян:

    «Большинство жителей с пониманием отнеслись к работам. Слышали и благодарность. Мы еще проведем озеленение в следующем году. А на свою работу даем гарантию 2 года»

    Олег Морозов живет в одном из дворов на Дзержинского более 10 лет. Он считает, что место требовало ремонта — это центр города, всегда многолюдное.

    Олег Морозов, местный житель:

    «Теперь здесь намного приятнее ходить. Надеюсь, что в будущем получится перенести контейнерную площадку. Она же здесь „на видном месте“. Лучше бы ее спрятать. Теперь у нас новый асфальт. Парковка свободнее стала. Перемены замечаем»
    Валентина Максимова
    Комплексное благоустройство территорий / Фото: Валентина Максимова

    Всего в Солнечногорске после программы по комплексному благоустройству станут комфортнее и современнее 10 дворовых территорий.

    Валентина Максимова

  • 109
    Обустройство дорог / Фото: 109

    В Подмосковье продолжается строительство новых тротуаров


    /Главная /Строительство
    Автор текста:
    /Главная /Строительство
    Автор текста:

    В Московской области продолжается строительство новых тротуаров вдоль региональных дорог. Он осуществляется в рамках национального проекта «Безопасные качественные дороги». На сегодняшний день работы завершили на 14 участках. Новые тротуары повысят безопасность пешеходов.

    109
    Строительство новых тротуаров / Фото: 109
    Алексей Гержик, заместитель председателя правительства — министр транспорта:

    «Уже 14 новых тротуаров обустроили в семи городских округах — Дмитрове, Балашихе, Раменском, Истре, Коломне, Лобне и Солнечногорске. А сейчас дорожники продолжают работы еще на 35 участках. Всего планируется до конца года построить еще более 50 км новых тротуаров»

    Новые тротуары обустроили в Солнечногорске — в пос. Поваровов, в Лобне на ул. Ленина, в Истре — в д. Крючково, , а в Коломне — на Озёрском шоссе. Сейчас работы продолжаются в 20 округах: Подольске, Серпухове, Домодедове, Талдоме, Щелкове, Луховицах, Красногорске и других. В Волоколамске к укладке покрытия на новом тротуаре приступили на ул. Щекино, в Пушкинском округе работы ведутся в пос. Правдинский на ул. Лесной, в Дмитрове — на ул. Кольцо, а в Орехово-Зуеве — на ул. Гагарина и Пролетарской.

    109
    Ремонтные работы / Фото: 109

    Дорожные службы обустраивают корыто, песчаное и щебеночное основания, бордюрный камень и проводят укладку асфальтобетонного покрытия.

  • Евгения Герасимова
    / Фото: Евгения Герасимова

    В Солнечногорске проводят комплексное благоустройство бывшего военного городка в микрорайоне Миронцево


    /Главная /Благоустройство
    Автор текста:
    /Главная /Благоустройство
    Автор текста:

    На территории городского округа Солнечногорск проводят комплексное благоустройство дворовых территорий. 16 тысяч кв. метров дворовой территории обновлены в микрорайоне Миронцево.

    Работы по модернизации бывшего военного городка в микрорайоне Миронцево ведутся по поручению губернатора Андрея Воробьева. На сегодняшний день, здесь обновлены 16 тысяч кв. метров дворовой территории. Итоги выполненных работ проверили заместитель главы администрации городского округа Солнечногорск Евгений Владимирский и депутат муниципалитета Андрей Воробьев совместно с активными жителями.

    — рассказал заместитель главы администрации городского округа Солнечногорск Евгений Владимирский.,

    «Бывший военный городок был передан в муниципальную собственность в 2021 году. И уже на сегодняшний день здесь произошли видимые перемены, которые затронули территорию в 16 тысяч кв. метров, а также здесь установлена современная губернаторская площадка. Подобный масштаб работ сейчас проводится и в деревне Марьино. Также отмечу, что жители уже выразили свои идеи по установке новых спортивных площадок. Данный вопрос дополнительно проработаем и обязательно проинформируем жителей об итоговых решениях»,

    В микрорайоне Миронцево у многоквартирных домов 11, 12, 13, 14, 15, 16, 17 отремонтировали и обустроили новые тротуары, заменили бордюры, проложили асфальт, а также обустроили парковки, в том числе с дополнительными местами для стоянки автомобилей с маломобильными гражданами.

    Евгения Герасимова

  • фото: пресс-служба администрации городского округа Солнечногорск
    фото: пресс-служба администрации городского округа Солнечногорск

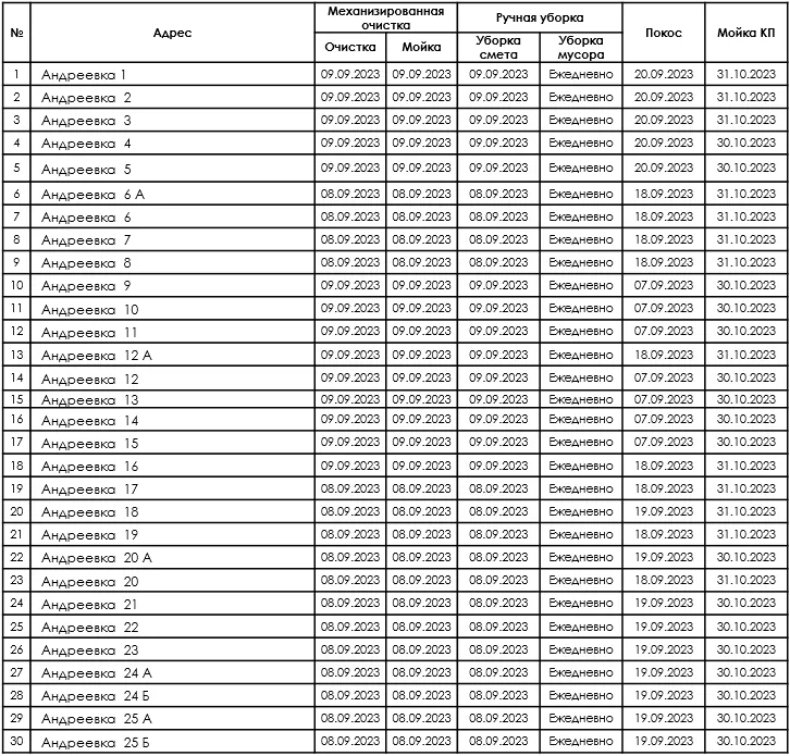
    В поселке Андреевка под Солнечногорском стало в пять раз больше дворников


    /Главная /Благоустройство
    Автор текста:
    Алена Мельникова
    /Главная /Благоустройство
    Автор текста:
    Алена Мельникова

    В рабочем поселке Андреевка городского округа Солнечногорск открылся филиал МБУ «ДЕЗ г. о. Солнечногорск». Более 30 рабочих и 4 единицы техники будут следить за порядком на общественных территориях.

    Инициативные жители рабочего поселка Андреевка городского округа Солнечногорск обратились к губернатору региона Андрею Воробьеву с просьбой организовать своевременную уборку территорий.

    — рассказала инициативная жительница Евгения Солодова,

    «За нашими территориями была прикреплена техника и работники, но уборка, подбор мусора, покос травы и так далее происходили только после многочисленных жалоб. Иногда к нам приезжали убираться вообще из Химок»,

    По данным пресс-службы администрации городского округа Солнечногорск, по поручению губернатора Андрея Воробьева количество дворников на территории увеличили в 5 раз.

    В августе было создано структурное подразделение в МБУ «ДЕЗ г. о. Солнечногорск». В филиале работает 21 рабочий и 6 трактористов. В зимний период времени штат будет усилен еще девятью рабочими. Также за населенным пунктом на постоянной основе закрепили пять тракторов, три погрузчика, самосвал и автовышку.

    — отметил глава городского округа Солнечногорск Константин Михальков.,

    «По поручению губернатора Андрея Воробьева в территориальном управлении Андреевка и деревне Голубое в частности мы пересмотрели подход к организации уборки территорий. По просьбам жителей на месте создано подразделение нашего МБУ „ДЕЗ“, специалисты которого следят за содержанием территории. Также хочу поблагодарить жителей Андреевки за активную жизненную позицию. Опираясь на их мнение, мы можем корректировать свою работу. Для этого каждый месяц проводим встречу с привлечением всех профильных подразделений округа»,

    МБУ работает по адресу по адресу: г. о. Солнечногорск, рп. Андреевка, ул. Староандреевская, д. 9.

    До конца октября составлен график своевременной уборки территориального управления Андреевка и деревни Голубое.

    Картинка
    Картинка
    Картинка
  • фото: pxhere.com
    фото: pxhere.com

    В деревне Голубое под Солнечногорском установят новые фонари


    /Главная /Благоустройство
    Автор текста:
    Алена Мельникова
    /Главная /Благоустройство
    Автор текста:
    Алена Мельникова

    В деревне Голубое к 2024 году появится дополнительная линия освещения в 1200 метров.

    Жители деревни Голубое пожаловались властям на отсутствие уличного освещения вдоль дорог на трех улицах: Тверецкий и Зеленый проезды, а также Парковый бульвар.

    - рассказала жительница Евгения Солодова.,

    «Застройщик установил всего 40 опор для освещения и только на часть из них установил фонари. Они не были переданы на баланс округа. Зимой, да и просто по вечерам очень темно, нам страшно ходить»,

    По поручению губернатора Московской области Андрея Воробьева был запущен процесс принятия от застройщика фонарей на баланс городского округа Солнечногорск.

    - сообщили в Минтрансе Московской области.,

    «На данный момент линия освещения составляет 200 м. Протяженность планируемой линии освещения составляет 1200 метров с установкой 40 опор, 40 светодиодных светильника. Стоимость разработки проекта составляет миллион рублей. Строительство линии освещения - 4 миллиона рублей. Сроки разработки проектно-изыскательских работ – ноябрь 2023 г., а строительно-монтажных работ – май 2024 г.»,
    Картинка